几个RFIC模拟电路中的注意
反馈电路topology的判断
反馈放大器可以减小放大倍数,增大通过带宽,减小信号变化造成的失真。
问题主要出现在Sandra Smith的Microelectronic Circuits中,对反馈结构的描述基于理解原理后建立的基础模型,在实际应用环境下很难判断放大器的基础结构。

四种不同的基本拓扑结构如图,在Sandra Smith的MC中,介绍主要使用括号中写的名词进行描述(方法②),不方便理解,所以使用括号外的描述方法①并且介绍一种简单粗暴的观察方法。
首先是两种表述方法的转换方式
我们之后会首先从电路中得出方法①的描述然后转换成方法②,所以先介绍如何从方法①转换成方法②。
以经验结果论,我们有原则:sampling 方法voltage对应shunt, 方法current 对应series,替换后改变前后顺序即是方法二的结果。
以上图图一为例,输出量为电压,所以是voltage sampling,而反馈信号也是电压,连接回输入电路的方法是串联(反馈信号和连接方式有对应),所以是series mixing。
voltage sampling 对应 shunt 前后替换后 voltage-series feedback就变成了 series-shunt feedback,对应Voltage Amp 适用的反馈拓扑结构。
例子

图为未连接左下节点的一个反馈放大器。
连接上断开 节点后,输出信号为电压(我们想要的),反馈信号是电压(有一端接地,只有电压信号),所以我们可以知道这是Voltage-sampling series-mixing Feedback。
而转换成方法②中的表示方法即是 series-shunt feedback。[https://www.youtube.com/watch?v=GufufacT88o]
Sandra Smith书中写的被认为是对的但是引起了很多误解【大概】
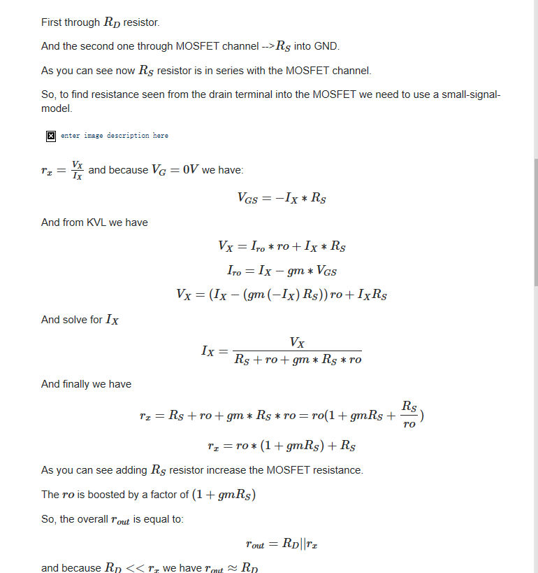
带源极电阻的共源极MOSFET输出电阻计算
骚气邓老师的第五章ppt里面写 CSwith Rs的忽视r0输出电阻是 下拉电阻RD,但许多例题里面的输出电阻并没有那么简单,枯了。


经过计算 正确式子是:
rout=RD||(ro*(1+gmRs)+Rs)
工程相关计算的时候记得约等于
A=X+Y+Z;
B=(1+MN);
C=A+B
遇到这种情况的时候,观察XYZ,MN的值,有较大值(相加两项比较超过一百倍就忽略小的那项)。
再带入数据计算结果,不然你就会变成卡兹sama。